Loading...
Loading...
The anti-diabetic effects of Fenugreek seed extract and Vernonia amygdalina leaf extract were studied in alloxan (140 mg/kg)-induced diabetic rats. There were six experimental groups, including A) Control, B) Diabetic, C) Diabetic+Ver (Vernonia, 400 mg/kg), D) Diabetic+Fen (Fenugreek, 200 mg/kg), E) Diabetic+Ver+Fen, and F) Diabetic+Amaryl (10 mg/kg). After seven weeks, the fasting blood sugar levels, lipid profiles, liver injury, and kidney injury markers were measured. The blood glucose levels of each group of diabetic rats were observed to decrease when administered with Vernonia amygdalina leaf extract, Fenugreek seed extract, and Vernonia with Fenugreek extract. The Vernonia amygdalina leaf extract group had lower mean FBS levels than the Amaryl group, indicating a hypoglycemic effect, and histopathological analysis showed the extract significantly slowed diabetes progression. When compared to a diabetic control rat, treatment with Vernonia and Vernonia combined with Fenugreek improved body weight reduction and dramatically lowered blood glucose levels (P<0.01). The combination of Fenugreek and Vernonia considerably lowers the triglyceride level (P<0.01). The purpose of this study was to assess how Vernonia amygdalina's aqueous leaf extract affected the lipid profile, blood glucose levels, nephropathy, and pancreatic injury of rats with diabetes that had been given alloxan. Data suggest that Vernonia amygdalina leaf compounds may have antidiabetic effects, requiring further study.
Diabetes mellitus, the most common pancreatic islet ailment, is caused by a defect in the production or usage of insulin [1]. It can be defined as a collection of metabolic disorders characterized by persistent hyperglycemia resulting from ineffective insulin secretion, action, or both, which impairs protein, carbohydrate, and lipid metabolism. It is a prevalent illness associated with higher rates of morbidity and death. With 171,186,372 inhabitants in 2021, Bangladesh has a high prevalence of adult diabetes, up from 4% in 1995 to 2000 and 5% in 2001 to 2005 to 9% in 2006 to 2010, according to a recent meta-analysis [2]. According to the International Diabetes Federation, 13% of the population will have diabetes by 2030.
Insulin and oral hypoglycemic drugs are the two pharmaceutical treatments for diabetes mellitus, and both have a lengthy list of side effects [3]. Diabetes can have an impact on several different metabolic pathways [4], and the condition has been associated with multiple factors, such as increased levels of serum total triglycerides, creatinine kinase, urea, and transaminase [5]. Lipid abnormalities are common in patients with diabetes mellitus, and there are observable disparities in the lipid profiles of those with and without diabetes [6]. Dyslipidemia has been identified as a primary risk factor for macrovascular complications in diabetes mellitus [7-9]. Conditions including lipemia, hypercholesterolemia, weight loss, ketosis, arteriosclerosis, gangrene, pathologic changes in the eye, neuropathy, renal disease, and coma can all lead to additional metabolic and anatomic issues [10]. It is the common cause of mortality, after cancer and heart disease [11].
The search for a diabetes mellitus cure continues to involve the use of alternative and traditional medicine. Not all herbal supplements that have been used to treat diabetes have been scientifically confirmed to be effective [12]. Using experimental animal models is one of the best ways to understand the pathophysiology of any disease in order to produce medications for its treatment [13]. Many animal models, including pharmacological, surgical, and genetic ones, have been developed in recent decades to study diabetes mellitus and assess anti-diabetic drugs [14], [15]. The alloxan-induced type 1 diabetic rat is one of the most common experimental animal models of diabetes [16]. Also, alloxan-induced toxicity in diabetic rats has been reported [17]. The increasing incidence of complications related to diabetes highlights the need for improving current treatment regimens and preventative measures. Despite several medical interventions and preventive measures, 300 million people globally are expected to have diabetes mellitus by 2025 [18]. Glimepiride tablets, often known as Amaryl, are an oral sulfonylurea drug that decreases blood sugar [19].
There is increasing interest in evaluating traditional uses of medicinal plants for the treatment of diabetes [20-23]. Additionally, the World Health Organization supported and encouraged this technique, particularly in nations with limited access to conventional diabetic therapy [24-26]. However, the World Health Organization has stressed that when choosing herbal medicine for use in healthcare, safety should come first. The biological and therapeutic activity of Vernonia amygdalina, which is well known for its antidiabetic and antihypertensive qualities, is extensively documented by writers. Amoebic dysentery, gastrointestinal issues, and schistosis are among the typical and well-documented medical uses. It is also used to treat wounds, hepatitis, fever, malaria, headaches, and wound healing [27].
Treating diabetes mellitus with herbal medicine is an additional therapeutic approach. It's thought to be less harmful and to have fewer adverse effects than synthetic ones [28]. The Middle East and Southeast Asia have long been centers of traditional uses of Fenugreek (Trigonella foenum-graecum L.) seeds for both health promotion and disease prevention.
The anti-inflammatory, antidiabetic, anti-tumor, antioxidant, antihypertensive, and antihyperlipidemic qualities of Trigonella foenum oil and its derived thymoquinone have been reported [29-32]. Additionally, a variety of illnesses, such as allergies, asthma, diarrhea, nephrotoxicity, and hepatotoxicity brought on by illnesses or toxins, can be naturally treated with the oil [33].
Study location
The experimental Fresh mature leaves of Vernonia amygdalina were collected from the research field of the Department of Physics in Bangladesh Agricultural University (BAU), Mymensingh. The study area is situated at the latitude of 24°44'21.37" N and longitude of 90°25'35.7" E with an elevation of 18.54 meters above sea level. This area is about 120 km north of the capital Dhaka and 3 km south of the district town of Mymensingh. Fenugreek (Trigonella foenum) was collected from K.R Market (BAU), Mymensingh. The dried leaves and Fenugreek seeds were ground into powder and kept in an air-tight container and protected from light until used. Methanol and ethanol from Merck Specialty Ltd (Mumbai, India), and all chemicals were collected from Merck and other renowned companies. Deionized water was obtained from in-house Milli-Q Nano pure (Millipore, Bedford, MA, USA). All the chemicals were used in analytical grades.
Preparation of aqueous extract of Vernonia amygdalina leaves
Fresh leaves of Vernonia amygdalina were washed, shade-dried at room temperature (25–30 °C) for 24–48 h, and stored at 4 °C until use. Fenugreek seeds were washed, sun-dried, packed in polythene bags, and stored at 4 °C until use. The dried leaves and seeds were then finely ground and kept in airtight containers for extract preparation.
The powdered dried leaves of Vernonia amygdalina and seeds of fenugreek were extracted using acetone, 70% ethanol, 80% methanol, cold water, and hot water, with a solvent-to-plant material ratio of 1:20 (w/v).
The powdered dried leaves of Vernonia amygdalina and seeds of fenugreek were extracted with cold water at a 20:1 (v/w) ratio for 48 h, followed by sonication for 30 min at room temperature and filtration through Whatman No.1 filter paper. The filtrate was concentrated by oven evaporation at 45 °C, and the extraction was repeated to ensure complete recovery.
The powdered dried leaves of Vernonia amygdalina and seeds of fenugreek were extracted with hot water (65 °C) at a 20:1 (v/w) ratio for 48 h, followed by sonication for 30 min at room temperature and filtration through Whatman No.1 filter paper. The filtrate was concentrated by oven evaporation at 45 °C, and the extraction was repeated to ensure complete recovery.
The powdered dried leaves of Vernonia amygdalina and seeds of fenugreek were extracted with 70% ethanol at a 20:1 (v/w) ratio for 48 h, followed by sonication for 30 min at room temperature and filtration through Whatman No.1 filter paper. The filtrate was concentrated by oven evaporation at 45 °C, and the extraction was repeated to ensure complete recovery.
The powdered dried leaves of Vernonia amygdalina and seeds of fenugreek were extracted with 80% methanol at a 20:1 (v/w) ratio for 48 h, followed by sonication for 30 min at room temperature and filtration through Whatman No.1 filter paper. The filtrate was concentrated by oven evaporation at 45 °C, and the extraction was repeated to ensure complete recovery.
The powdered dried leaves of Vernonia amygdalina and seeds of fenugreek were extracted with acetone (20:1, v/w) for 48 h, sonicated for 30 min, filtered, and concentrated at 45 °C; extraction was repeated for completeness. Stock solutions (10 µg/µL) were prepared by dissolving 1 g of crude extract in 100 mL of solvent.
Animal study
Twenty-four healthy adult male Swiss Albino rats for research work were collected from M/s Afroza Enterprise B-45, Khasru Bagan, Savar, Dhaka. Rat feed was obtained from a reputed rodent feed exporter, M/S Jamuna Traders, Uttar Bhuighar, Fatullah, Narayanganj. Before the beginning of the research work, all the rats were adapted to the new environmental conditions for a period of fifteen days. Rats were randomly divided into 6 equal groups (n=2-3). All groups were accommodated in compartmentalized rectangular metallic cages wrapped with wire mesh. The rats were kept in separate cages according to group names. The cages were placed in a well-ventilated room at 25±2° C and a relative humidity of 70-80% with natural day and light.
Normal body weight and normal fasting glucose level of every rat were measured by an electric balance and glucometer (Alere™ G1, Korea), respectively. The working experimental laboratory was cleaned and washed with disinfectants regularly. Accurate, hygienic, and sterile materials were used to clean the Rat cages. Obviously, rat feces were removed regularly. All rats were handled following the standard guideline of the Animal Welfare and Experimental Ethical Committee (AWEEC) of BAU (No. AWEEC/ BAU/ 2023/58).
There were six experimental groups, including A) Control, B) Diabetic, C) Diabetic+Ver (Vernonia, 400 mg/kg), D) Diabetic+Fen (Fenugreek, 200 mg/kg), E) Diabetic+Ver+Fen, and F) Diabetic+Amaryl (10 mg/kg). Control served as the normal control, receiving only saline water, while the diabetic rats were treated with Alloxan monohydrate (140 mg/kg) and left untreated for seven weeks to act as the diabetic group. Diabetic rats were treated with Vernonia amygdalina extract, Fenugreek extract, and Amyral.
Throughout the study, body weight and blood glucose levels were measured at different stages to track the effects of these treatments.
Blood glucose analysis
The reaction zone of the strip is formulated with glucose dehydrogenase (7µl), potassium ferrocyanide (26µl), an immobilizing agent (1.6µl), and a stabilizing compound (0.5 µl). Within this zone, glucose dehydrogenase catalyzes the oxidation of glucose present in the blood sample, yielding gluconolactone as the reaction product.
A blood sample was obtained from the tail, and the Glucotrend monitor was simultaneously activated by a brief single press. Following the display of the corresponding code number, the test strip was inserted into the device, and a drop of blood was applied directly to the reaction zone of the strip. Prior to measurement, a new coding chip was installed in the monitor. Glucose concentrations were reported in millimoles per liter (mmol/L).
Blood lipid profile analysis
In the seventh (7th) week of the experimental period, the animals were anesthetized using sodium pentobarbital (65 mg/kg) with intraperitoneal administration and subsequently euthanized for blood collection. Following surgical opening of the abdominal and thoracic cavities, cardiac puncture was performed using a sterile needle and syringe to obtain blood samples directly from the heart. Approximately 1 ml of blood was transferred into anticoagulant-treated tubes containing 3.8% sodium citrate for hematological assessment. Plasma was separated by centrifugation at 4500 rpm for 10 minutes and stored at -20˚C until further biochemical analysis. Plasma total cholesterol (TC), triglyceride (TG), high density lipoprotein (HDL), and low-density lipoprotein (LDL) concentrations were determined spectrophotometrically using commercial reagent kits (Linear Chemicals, S.L., Barcelona, Spain). Absorbance for TC, HDL, and LDL was recorded at 550 nm, while TG absorbance was measured at 500 nm. All lipid parameters were expressed in milligrams per deciliter (mg/dl).
Histopathological analysis
At the end of the treatment period, the animals were deprived of food and fasted overnight while being allowed unrestricted access to water. Subsequently, the rats were anesthetized with sodium pentobarbital (65 mg/kg, intraperitoneally) and euthanized for sample collection. After anesthesia, the rats were sacrificed, and the internal organs (liver, pancreas, kidney, spleen) were removed surgically.
For histopathology, the pancreas samples were collected at necropsy and preserved in 10% neutral buffered formalin for fixation. Later, the formalin-fixed tissues were trimmed, cleared in chloroform, embedded in paraffin, and sectioned with the help of a microtome. The tissue sections were stained following a routine hematoxylin and eosin (H&E) staining protocol.
The tissue morphology of the pancreas, particularly the Islets of Langerhans, Liver, Kidney, and spleen were observed under a microscope using low (10x) and high (40x) magnification, and photomicrographs were taken. The number of all type of cells in 2-3 randomly selected Islets of Langerhans, Liver, Kidney, and spleen of each group of 3 rats were counted. The cell numbers in different groups of rats were plotted in GraphPad Prism software and analyzed using appropriate statistics.
Statistical analysis
All data were expressed as Mean±SEM. Differences among the animal groups in the study were analyzed using a one-way ANOVA with a post hoc Bonferroni test. Statistical significance was set at P<0.05. Statistical analysis was performed using SPSS software version 20 (SPSS Inc., Chicago, IL, USA).
Effects of aqueous leaf extract of Vernonia amygdalina and seed extract of Fenugreek on Body weight in diabetic rats
When compared to a diabetic control rat, treatment with Vernonia and Vernonia combined with Fenugreek improved body weight reduction (P<0.01) as shown in Figure 1.

Effects of aqueous leaf extract of Vernonia amygdalina and seed extract of Fenugreek on plasma total blood glucose level in diabetic rats
Treatment with alloxan (140 mg/kg) induced hyperglycemia in Groups B, C, D, E, and F. This hyperglycemia was reduced by treating them with Vernonia, Fenugreek, Vernonia with Fenugreek and Amyral in C, D, E and F groups, respectively where Vernonia and Vernonia with Fenugreek treatment in Group-C and Group-E had better result than Amyral treated groups. On the other hand, a significant difference was observed (p<0.05). The effects of aqueous leaf extract of Vernonia and seed extract of Fenugreek on blood glucose level in alloxan-induced diabetic Rats are presented in Figure 2.

Effects of aqueous leaf extract of Vernonia amygdalina and seed extract of Fenugreek on plasma total cholesterol in diabetic rats
The effects of aqueous leaf extract of Vernonia and seed extract of Fenugreek on plasma total cholesterol (TC) are shown in Figure 3. It was found that the total cholesterol level was raised (67.32±5.6) significantly (P<0.01) in diabetic rats (Group-B) in comparison to the control group (A) (122.75±9.98). There were no significant changes in total cholesterol values after treating them with Vernonia, Fenugreek, Vernonia with Fenugreek, and Amyral. But Vernonia and Vernonia with Fenugreek treatment prevent the further increase in the cholesterol level of alloxan-induced diabetic animals.

Effects of aqueous leaf extract of Vernonia amygdalina and seed extract of Fenugreek on plasma triglycerides in diabetic rats
The effects of aqueous leaf extract of Vernonia and seed extract of Fenugreek on plasma triglyceride (mg/dL) values are expressed in Figure 4. It is clear that, in alloxan-induced diabetes, plasma triglyceride values were increased in the diabetic group (194.12±14.02) significantly (P<0.01) compared to the control (A) group (87.875±9.47). After treating them with Vernonia, Fenugreek, and Vernonia with Fenugreek, but the Vernonia and Vernonia with Fenugreek indicated that the triglyceride values were decreased compared to Amaryl treated group (96.9.00±10.23), which was not statistically significant.

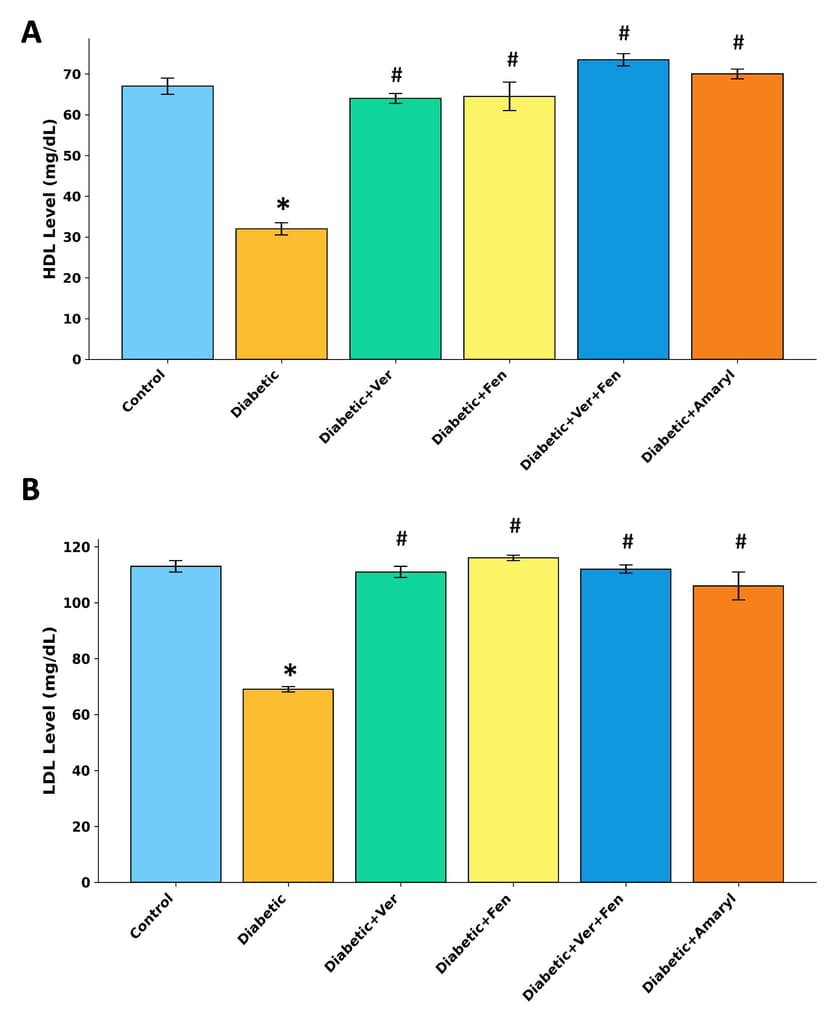
Effects of aqueous leaf extract of Vernonia amygdalina and seed extract of Fenugreek on plasma HDL and LDL in diabetic rats
The effects of aqueous leaf extract of Vernonia and seed extract of Fenugreek on HDL (mg/dL) values are expressed in Figure 5A. After 7 weeks of treatment, it is clear that, in alloxan-induced diabetes, HDL values decreased in the diabetic control (B) group (32.26±6.9) significantly (P<0.01) compared to the control (A) group (67.25±3.39). After treating them with Vernonia, Fenugreek, and Vernonia with Fenugreek, it was found that the HDL values increased compared to the Amaryl-treated group (70±1.23), which was not statistically significant.
The effects of aqueous leaf extract of Vernonia and seed extract of Fenugreek on LDL (mg/dL) values are expressed in Figure 5B. After 7 weeks of treatment, it is clear that, in alloxan-induced diabetes, LDL values increased in diabetic control (B) group (69.01) significantly (P<0.01) compared to the normal control (A) group (113.75). After treating them with Vernonia, Fenugreek, and Vernonia with Fenugreek where Vernonia and Vernonia with Fenugreek, it was found that the LDL values were decreased compared to the Amaryl-treated group (105.9), which was not statistically significant.

Effects of aqueous leaf extract of Vernonia amygdalina and seed extract of Fenugreek on blood urea nitrogen and creatinine in diabetic rats
The effects of aqueous leaf extract of Vernonia and seed extract of Fenugreek on blood urea nitrogen (BUN) (mg/dL) values are expressed in Figure 6A. After 7 weeks of treatment, it is clear that, in alloxan-induced diabetes, BUN values increased in the diabetic control (B) group (66.445) significantly (P<0.01) compared to the normal control (A) group (24.955). After treating them with Vernonia, Fenugreek, and Vernonia with Fenugreek, it was found that the BUN values were decreased compared to the Amaryl-treated group (23.85), which was not statistically significant.
The effects of aqueous leaf extract of Vernonia and seed extract of Fenugreek on Creatinine (mg/dL) values are expressed in Figure 6B. After 7 weeks of treatment, it is clear that, in alloxan-induced diabetes, Creatinine values increased in the diabetic control (B) group (1.27) significantly (P<0.01) compared to the normal control (A) group (0.645). After treating them with Vernonia, Fenugreek, and Vernonia with Fenugreek, it was found that the Creatinine values were decreased compared to the Amaryl-treated group (0.68), which was not statistically significant.

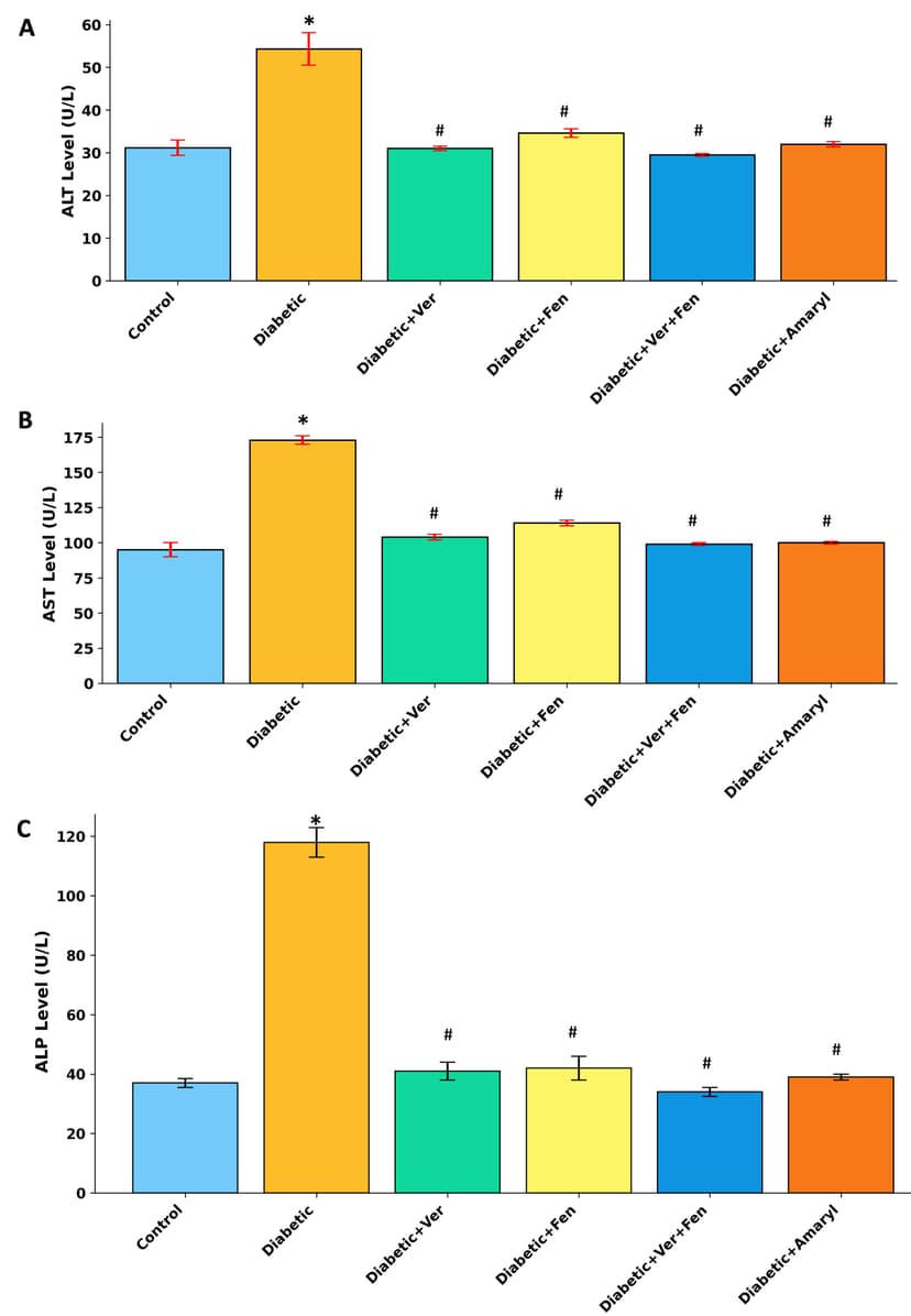
Effects of aqueous leaf extract of Vernonia amygdalina and seed extract of Fenugreek on ALT, AST, and ALP in diabetic rats
The effects of aqueous leaf extract of Vernonia and seed extract of Fenugreek on Alanine aminotransferase (ALT) (U/L) values are expressed in Figure 7A. After 7 weeks of treatment, it is clear that, in alloxan-induced diabetes, creatinine values increased in the diabetic control (B) group (54.345) significantly (P<0.01) compared to the normal control (A) group (31.21). After treating them with Vernonia, Fenugreek, and Vernonia with Fenugreek, it was found that the Creatinine values were decreased compared to the Amaryl-treated group (31.865), which was not statistically significant.
The effects of aqueous leaf extract of Vernonia and seed extract of Fenugreek on Aspartate aminotransferase (AST) (U/L) values are expressed in Figure 7B. After 7 weeks of treatment, it is clear that, in alloxan-induced diabetes Creatinine values increased in the diabetic control (B) group (172.46) significantly (P<0.01) compared to the normal control (A) group (95.225). After treating them with Vernonia, Fenugreek, and Vernonia with Fenugreek, it was found that the Creatinine values were decreased compared to the Amaryl-treated group (99.595), which was not statistically significant.
The effects of aqueous leaf extract of Vernonia and seed extract of Fenugreek on Alkaline Phosphotransferase (ALP) (U/L) values are expressed in Figure 7C. After 7 weeks of treatment, it is clear that, in alloxan-induced diabetes, creatinine values increased in diabetic control (B) group (117.9) significantly (P<0.01) compared to the normal control (A) group (36.945). After treating them with Vernonia, Fenugreek, and Vernonia with Fenugreek, it was found that the Alkaline Phosphotransferase (ALP) values were decreased compared to the Amaryl-treated group (39.15), which was not statistically significant.

Effects of aqueous leaf extract of Vernonia amygdalina and seed extract of Fenugreek on histopathological parameters in diabetic rats
Following completion of the experimental protocol, the pancreas, liver, and kidneys were harvested for histopathological evaluation. Electron microscope examination of pancreatic tissue from the control group (Group A) revealed a preserved structural organization of the islets of Langerhans, surrounded by intact and healthy exocrine pancreatic tissue (data not shown). Histological analysis of renal sections from the normal control rats (Figure 8) demonstrated well-maintained kidney architecture, characterized by intact tubular structure with wide, clear lumina and well-defined, undamaged glomeruli and Bowman’s capsules, accompanied by clearly visible cell nuclei.
In contrast, pronounced histopathological abnormalities were observed in the kidneys of diabetic rats (Figure 8). These alterations included marked structural damage to both glomerular and tubular components, manifested by narrowing of Bowman’s capsule, distortion of glomerular morphology, and evidence of glomerular necrosis. Treatment with the test extracts resulted in partial to substantial restoration of renal histoarchitecture, as illustrated in Figure 8. Notably, the most prominent histological recovery was observed in animals receiving the highest extract dose (500 mg/kg) as well as in those treated with metformin. In these groups, reductions in Bowman’s space and normalization of glomerular dimensions were evident, along with improved integrity of the tubular epithelium. Quantitative assessment further confirmed a significant decrease in Bowman’s space diameter following administration of 500 mg/kg aqueous extract and 200 mg/kg metformin (Figure 8). Importantly, treatment with the aqueous extract at 500 mg/kg produced a greater reduction in Bowman’s space compared with metformin, indicating a superior reno-protective effect.
Figure 9 displays normal hepatic features, which are histologically described as a large number of hepatocytes with circular euchromatic nucleoli and sinusoidal lining. Figure 9 displays cellular abnormalities with areas of necrosis, vascular blockage, and cellular degradation in the liver tissues of the diabetic rats compared to those of the healthy group. Comparing the liver tissue of diabetic rats treated with extracts at a dose of 250 mg/kg to that of the normal and diabetic control groups (Figure 9), the liver tissue of the diabetic rats treated with extracts at a dose of 500 mg/kg displayed moderate areas of nuclei, vascular congestion, and cellular restoration. In contrast, the liver tissue of the diabetic rats treated with extracts at a dose of 250 mg/kg showed noticeable cellular degeneration and vascular congestion along with a small area of cellular repair. Along with some mild degenerative alterations, the metformin group displayed certain typical healthy traits similar to those of the normal control rats (Figure 9). The group with diabetes displayed the highest degree. This impact was lessened in treatments using 250 and 500 mg/kg aqueous extracts. The figures had dropped to 50% and 70%, respectively. Treatment with metformin at a dose of 200 mg/kg reduces this liver damage by 30%.


Before the treatment, there were no significant differences in the baseline body weight of the rats. When the data was compared, it showed a decrease in body weight of the diabetic control rat compared to the normal control rat. After treatment with Vernonia extract solution and Vernonia with Fenugreek extract solution body weight of the treated group was significantly (P<0.05) increased better than the Amaryl group. In the present study, diabetes was induced by Alloxan monohydrate intraperitoneal administration of a single dose of 140 mg/kg b.wt in rat increased the blood glucose level [34].
After the alloxan injection, persistent hyperglycemia was observed after 7 days. A similar observation was noted, indicating persistent hyperglycemia as early as 72 hours, accompanied by clinical manifestations of polyuria, polydipsia, and polyphagia, which became apparent after 24 hours in this study. Thus, it is concluded that alloxan is a potent hyperglycemic agent [35]. After alloxan administration, diabetes was confirmed by observing the increased blood glucose level in alloxan induced rat compared to saline induced rat. Before the treatment, there were no significant differences in the starting blood glucose level of the rats. The data indicates significant change in glucose level between the normal control and diabetic control rats (P<0.01). Diabetic control rats were treated with Vernonia leaf extract solution (Group-C), Fenugreek extract solution (Group-D), Vernonia with Fenugreek extract solution (Group-E), and Amaryl (Group-F), then the blood glucose level was decreased significantly, but Group-C and Group-D were shown to be better than Amyral treated group. Vernonia amygdalina has a positive effect on reducing the blood glucose level. So, we can say that Vernonia amygdalina and fenugreek act as an anti-diabetic drug for diabetes.
Compared to the control group, alloxan-induced diabetic rats had higher total cholesterol levels (P<0.001). This may be because alloxan-induced hyperglycemia causes the liver to convert certain fatty acids into phospholipids and cholesterol.
These two molecules, coupled with excess triglycerides generated at the same time in the liver, may be released into the blood in the form of lipoprotein. Amyral induces diabetic rat exhibit a high plasma cholesterol and triglyceride level. The serum levels of cholesterol, triglycerides, HDL, and LDL were found to be significantly increased in the diabetic group when compared to the control.
Following the administration of Vernonia leaf extract solution (Group-C) and Vernonia with Fenugreek (Group-E), the plasma total cholesterol level was reduced non-significantly, and it prevents the further increase in cholesterol level of diabetic animals, acting as a diabetic drug. These two groups were compared with Amaryl- treated group. The diabetic rat with increased triglyceride level, when treated with Vernonia leaf extract solution (Group-C) and Vernonia with Fenugreek (Group-E), showed that it decreased the triglyceride values significantly (P<0.05). Other parts of the lipid profile test of HDL and LDL are indicated with better result like cholesterol and triglycerides.
From the histopathological results, it is seen that the pancreas, livers, and kidneys are destroyed and degenerated with shrunken cell mass in comparison with the pancreas, livers, and kidneys cells in the case of the diabetic control group. On the other hand, the investigation of Vernonia treated group, and the Vernonia with Fenugreek-treated group worked for regenerating the cells, where the Vernonia-treated group investigation suggested that a positive regeneration of the islet cells is seen in the studies.
It is clearly shown in result that the leaf extracts of V. amygdalina increased the body weight, but decreased the blood glucose level, and lipid profiles of cholesterol, triglycerides, HDL, and LDL. The leaf extracts of V. amygdalina also regenerated the islet cells of pancreatic injury in diabetic animals. The aqueous leaf extract of V. amygdalina resulted in significant decreases in the blood glucose in diabetic rats. It suggests that the plant extract may stimulate insulin production and glucose utilization in diabetic rats.
Despite the promising findings, this study has several limitations that should be acknowledged. Initially, each experimental group consisted of four rats; however, during the fifth week of the study, one animal from the control group (Group A) died, resulting in a reduced sample size of three rats per group for subsequent analyses. This reduction may have limited the statistical power of the study and the generalizability of the results. Additionally, the relatively small sample size and single experimental duration restrict broader interpretation of long-term efficacy and safety. Future investigations employing larger cohorts, extended treatment periods, and multi-dose comparative designs are warranted to validate and strengthen the present findings. Further studies incorporating molecular, genetic, and mechanistic analyses would also be valuable to elucidate the underlying pathways responsible for the observed effects and to enhance the translational relevance of the results.
The study investigates the antidiabetic effects of Vernonia amygdalina and its combination with Fenugreek on alloxan-induced diabetic rats. Vernonia amygdalina contains beneficial nutrients and phytochemicals. The experiment showed that treatment with Vernonia and Vernonia combined with Fenugreek significantly reduced blood glucose levels (P<0.01) and improved weight loss in diabetic rats. While cholesterol levels were reduced non-significantly, triglyceride levels were significantly lowered (P<0.01). HDL and LDL levels improved, resembling those of non-diabetic rats. Histopathological analysis revealed that the treatment protected and restored the structure of islets, hepatocytes, and kidney tissues. The results highlight that both Vernonia and fenugreek were potentially effective as an antidiabetic treatment.
This study acknowledges the University Grants Commission of Bangladesh for funding this Project (Ref. Physical Science-85-2021; Date: 30-04-2023). I also acknowledge with thanks the Bangladesh Agricultural University Research System (BAURES) for giving us the technical support throughout the project period.
SA and MKHB participated equally in the interpretation of the results and manuscript writing. The experiments of the present study were carried out by LM. The statistical analysis and display of the data were completed by CG, SA, MKHB, MSI, and KMN. Each author provided their consent after reading the finished manuscript.
There is no conflict of interest among the authors.
Ahmad, S. and Mubashshira, L. and Islam, M. and Goswami, C. and Nasiruddin, K. and Bhuiyan, M., 2025, 'Effects of aqueous leaf extract of Vernonia amygdalina and seed extract of Fenugreek on alloxan-induced diabetes in rats', Toxicant Research, vol. 1, no. 1, pp. 19-34.
Ahmad, S.; Mubashshira, L.; Islam, M.; Goswami, C.; Nasiruddin, K.; Bhuiyan, M. Effects of aqueous leaf extract of Vernonia amygdalina and seed extract of Fenugreek on alloxan-induced diabetes in rats. Toxicant Research 2025, 1(1), 19-34. https://doi.org/10.5454/tr.2025.04
Ahmad, S.; Mubashshira, L.; Islam, M.; Goswami, C.; Nasiruddin, K.; Bhuiyan, M. Effects of aqueous leaf extract of Vernonia amygdalina and seed extract of Fenugreek on alloxan-induced diabetes in rats. Toxicant Research. 2025;1(1):19-34. https://doi.org/10.5454/tr.2025.04
Ahmad, Sabbir ; Mubashshira, Labiba ; Islam, Md. Shafiqul ; Goswami, Chayon ; Nasiruddin, Khondoker Md ; Bhuiyan, Md. Khairul Hassan. 2025. "Effects of aqueous leaf extract of Vernonia amygdalina and seed extract of Fenugreek on alloxan-induced diabetes in rats" Toxicant Research 1, no. 1: 19-34. https://doi.org/10.5454/tr.2025.04
Ahmad, S.; Mubashshira, L.; Islam, M.; Goswami, C.; Nasiruddin, K.; Bhuiyan, M. (2025). Effects of aqueous leaf extract of Vernonia amygdalina and seed extract of Fenugreek on alloxan-induced diabetes in rats. Toxicant Research, 1(1), 19-34. https://doi.org/10.5454/tr.2025.04
Md Jamal Uddin, PhD
Received
02 November 2025
Accepted
13 December 2025
Published
27 December 2025
Md. Khairul Hassan Bhuiyan
,Department of Physics, Faculty of Agriculture, Bangladesh Agricultural University, Mymensingh 2202, Bangladesh
;Email: bhuiyan.phy@bau.edu.bd
Ahmad S, Mubashshira L, Islam M, Goswami C, Nasiruddin K, Bhuiyan M. Effects of aqueous leaf extract of Vernonia amygdalina and seed extract of Fenugreek on alloxan-induced diabetes in rats. Toxicant Res. 2025; 1(1), 19-34. 2025; 1(1): 19-34